Trócsányi Zoltán
A kvarkok csodálatos világa


A 2004. évi fizikai Nobel-díjat három amerikai fizikus, David J. Gross, H. David Politzer és Frank Wilczek kapta ,,az erős kölcsönhatás aszimptotikus szabadságának felfedezéséért''. Az iskolában azt tanuljuk, hogy az erős kölcsönhatás az atommagok alkotórészeinek, a protonoknak és a neutronoknak, összefoglaló néven nukleonoknak az összetartásáért felelős. A tudományban már néhány évtizede tudjuk, hogy a protonok is további alkotórészekből, kvarkokból állnak, és az erős kölcsönhatás a kvarkok összetartásáért felelős. A nukleonokat csupán a kvarkok közötti kölcsönhatás nukleonokon kívülre jutó "maradéka" tartja igen erősen össze.
 
 

David J. Gross
Kaliforniai Egyetem, 
Kavli Intézet,
Santa Barbara, CA
H. David Politzer
 Kaliforniai Műszaki
Egyetem,
Pasadena, CA 
Frank Wilczek
 Massachusettsi 
Műszaki Egyetem,
Cambridge, MA

Az alapvető kölcsönhatások

Az embert mindig érdekelte, miből épül fel, hogyan működik az őt körülvevő világ. Mennyiségi megfigyelések hiányában Galileo Galilei és Isaac Newton koráig többnyire természetfilozófiai megfontolások alapján alkotta a világ működését leírni próbáló elméleteket. Newton volt az első, aki felismerte, hogy minden test között vonzó kölcsönhatás létezik, és matematikai képlet formájában fel tudta írni a tömegvonzás egyetemes törvényét. Később rájöttek arra, hogy az elektromosan töltött testek között is hasonló képlettel leírható elektromos erő lép fel. Nyitva maradt azonban a kérdés, hogy mi is az erő. Hogyan lehetséges a távolhatás?

Mintegy száz évvel ezelőtt Max Planck kvantumfeltevése nyomán Albert Einstein rájött arra, hogy a fény részecskék - fotonnak hívott fénykvantumok - áramlásaként is felfogható. A múlt század húszas éveiben dolgozta ki Werner Heisenberg, Erwin Schrödinger és Paul Dirac a kvantummechanika elméletét. Ebben az elméletben az elektromosan töltött testek (részecskék) közötti elektromos erő felfogható úgy, hogy a töltött részecskék fotonokat cserélnek. A jelenség makroszkopikus méretű modellje két kézilabdázó lehetne, akik között vonzó kölcsönhatást létesít az általuk egymásnak dobált kézilabda. A kézilabdások közötti kölcsönhatás véges hatótávolságú, mert a tömeggel rendelkező labdát nem tudják tetszőlegesen nagy távolságra eldobni. Minél kisebb a labda tömege, a kézilabdások annál messzebbről is át tudják dobni egymásnak a labdát, azaz a kölcsönhatás hatótávolsága annál nagyobb lehet. A fotonok tömege nulla, így az elektromos kölcsönhatás hosszú hatótávolságú.

A fotonokat sikerült laboratóriumban is kimutatni. Az elektromos és gravitációs erőt leíró képletek hasonlósága miatt úgy véljük, hogy a gravitációs távolhatás is hasonló módon működik, mint az elektromos. A tömeggel rendelkező részecskék a gravitonnak nevezett gravitációs kvantumot "dobják" egymásnak, ami tömegvonzáshoz vezet. A gravitonokat ugyan közvetlenül nem sikerült kimutatni, de az elméleti analógia és a közvetett kísérleti megfigyelések alapján jó okunk van hinni, hogy valóban léteznek.

 Mind a gravitációs, mind az elektromos erő a kölcsönható testek távolságának négyzetével fordított arányban csökken. Vajon ennek mi lehet az oka? A választ a részecskék kettős természetében kereshetjük. A kvantumelmélet szerint minden részecske - amellett, hogy kvantumos természetű - hullámokra jellemző tulajdonságokat is mutat. A fény esetében a hullámtermészet felfedezése megelőzte a kvantumos viselkedés felfedezését. Mármost minél messzebb vagyunk a hullámforrástól, annál gyengébb hullámzást érzünk, annál kisebb a hozzánk érkező hullámrész által szállított energia. Egészen pontosan a háromdimenziós térben az egységnyi felületen időegység alatt átáramló energia a hullámforrástól mért távolság négyzetével fordítottan arányos. Makroszkopikus kézilabdás modellünkkel ezt nem tudjuk értelmezni, mert a kézilabda túlságosan nagy ahhoz, hogy hullámtermészetéz észlelhessük. Egyszerre érzékelhető kvantumos és hullámtermészetet csak az atomi méretekkel összemérhető nagyságú vagy kisebb részecskék esetén tapasztalunk.

Miközben a fizikusok a természet alapvető kölcsönhatásait próbálják megérteni, az alapvető építőköveket is keresik. A XVIII. században felfedezték az atomokat, majd mintegy száz éve az atomok alkotórészeit - Joseph Thomson az elektront és Ernest Rutherford az atommagot. Hamarosan felfedezték, hogy az atommagok sem elemiek: protonokból és neutronokból, összefoglaló néven nukleonokból épülnek fel. Később kiderült, hogy a neutron protonná alakulhat egy elektron és egy semleges részecske - a neutrínó - kibocsátásával, tehát a nukleonok sem elemi részecskék.  Alkotórészeik között két újfajta kölcsönhatás létezik, a gyenge és erős kölcsönhatás (ez utóbbit a magyar származású, Nobel-díjas Wigner Jenő ismerte fel). A neutron elbomlásáért a gyenge, a nukleonok alkotórészeinek összetartásáért az erős kölcsönhatás a felelős. Ezek a kölcsönhatások nagyon rövid hatótávolságúak. A gyenge kölcsönhatás lényegében a nukleon belsejére korlátozódik, az erős kölcsönhatás pedig éppen csak annyira nyúlik túl a nukleonon, hogy - a protonok közötti elektromos taszítást legyőzve - a nukleonokat atommaggá kösse; az atommagon kívül már nem érződik hatása. Az elmúlt fél évszázad részecskefizikusainak feladata volt a nukleonok építőköveinek és a köztük fellépő kölcsönhatásoknak a mennyiségi megértése. A 2004. évi Nobel-díj - jónéhány korábbi díjhoz hasonlóan - az ehhez vezető alapvető elméleti felismerést jutalmazta.
A gyenge kölcsönhatás megértése igen fontos lépés volt az elemi részecskék Standard Modelljének1 kidolgozásában. Az 1979-es Nobel-díjat megosztva Sheldon Glashow, Abdus Salam és Steven Weinberg kapta annak a megjóslásáért, hogy a gyenge kölcsönhatást a fotonhoz hasonló, csak éppen igen nagy - a proton tömegének közel százszorosa - tömegű részecskék, a töltött W+, W- és a semleges Z0 közvetítik. A jóslatért csak akkor jár elismerés, ha a természet igazolja. A W±  és  Z0 részecskéket először az Európai Magfizikai Laboratóriumban (mai nevén Európai Részecskefizikai Laboratórium, CERN) figyelték meg proton-antiproton ütközésekben, amiért Carlo Rubbia és Simon van der Meer 1984-ben nyertek nobeli elismerést. A közvetítő részecskék nagy tömege eredményezi a gyenge kölcsönhatás rövid hatótávolságát (medicinlabdával kézilabdázni csak egymáshoz közeli játékosok tudnak). A gyenge és az elektromágneses kölcsönhatás az elektrogyenge kölcsönhatássá egyesíthető. Az egyesítés matematikai részleteinek tisztázásáért Gerardus 't Hooft és Martinus Veltman 1999-ben Nobel-díjat kapott.

Az említett korábbi díjak közé tartozik az 1990-es is, amikor Jerome Friedmant, Henry Kendallt és Richard Taylort a proton kvarkmodelljének2 alátámasztását szolgáló kísérleteikért jutalmazták.  Ezekben a kísérletekben bebizonyították, hogy a protonok is összetett részecskék, három kvarkból állnak. A kvarkok egyik különlegessége, hogy az elektromos töltésük az "elemi"-nek nevezett proton töltésének tört része, -1/3-a vagy 2/3-a. Ennek okát eddig nem sikerült feltárni. A másik különlegesség, hogy elektromos töltésük mellett van egy másik töltésjellegű tulajdonságuk, amelyet színtöltésnek neveztek el abból a hasonlatból kiindulva, hogy a színtöltésből is - csakúgy, mint a színekből - három alapvető állapot van, például piros, zöld és kék az RGB színskálán.  (Ezzel szemben az elektromos töltésnek két alapvető állapota van, a pozitív, illetve a negatív egységtöltés.) Minden elemi részecskének, így a kvarkoknak is van antirészecskéjük, amelyek a részecskéktől csupán a töltésük előjelében különböznek. Például az elektron anitrészecskéjének, a pozitronnak az elektromos töltése az elektron töltésének -1-szerese. Az antikvarkok színtöltése a kvarkok színének ellentettje, "antipiros", "antikék" és "antizöld".

A "színes" kvarkok közötti "szín"-kölcsönhatást vagy szokásos nevén erős kölcsönhatást a fotonokhoz hasonló gluonok (a glue angol szó magyarul ragasztót jelent) közvetítik. A fotonok és a gluonok egyaránt nulla tömegűek, így azt gondolhatnánk, hogy az erős kölcsönhatás is hosszú hatótávolságú. Ez azonban ellenkezik azzal a korábban említett tapasztalattal, hogy az erős kölcsönhatás az atommagon kívül már nem érezhető. Ennek oka, hogy a fotonok és a gluonok között van egy lényeges különbség - amíg a fotonok elektromosan semlegesek, addig a gluonok maguk is színtöltéssel (pontosabban szín-antiszín töltéspárral) rendelkeznek, tehát önmagukkal kölcsön tudnak hatni. Olyan ez, mintha a kézilabdás hasonlatunkban a labda -miközben az egyik kézilabdástól a másikhoz repül - ketté tudna válni, maga is egy újabb labdát tudna dobni. Ebben az esetben akármilyen könnyű a labda, a játékosok mégsem mehetnek tetszőleges távolságra egymástól, mert a menet közben osztódó labdákat nem tudják elkapni. A természetben szabad kvarkokat nem sikerült megfigyelni, amit úgy értelmezünk, hogy az önkölcsönható gluonok összetartják az őket kibocsátó-elnyelő kvarkokat, bár ezt az elméletre alapuló matematikailag pontos bizonyítással mindeddig nem sikerült alátámasztani.  Tapasztalat szerint a kvarkok csoportosulása mindig "fehér" (színsemleges) ahhoz hasonlóan, mint ahogy az atomok elektromosan semlegesek.

A csatolási "állandó"

Annak megértéséhez, hogy mit ismertek el az elmúlt évi fizikai Nobel-díjjal, meg kell ismerkednünk a csatolás fogalmával. A fizikus minden fizikai rendszert, jelenséget úgy kísérel meg felderíteni, hogy először a jelenség lényegét próbálja megérteni minden zavaró hatás kiküszöbölésével, majd fokozatosan veszi figyelembe előbb a legfontosabb, majd a kevésbé fontos hatásokat - lépésenként haladva az egyszerű, de pontatlan leírástól a bonyolult, de egyre pontosabb leírás felé. Az elemi részecskék világában ez a megközelítés azt jelenti, hogy először a részecskék mozgását minden más részecskétől függetlenül írjuk le (hogyan mozog egy kézilabdás egyedül?).  Ezután "bekapcsoljuk" a kölcsönhatást (a zavaró hatást, szaknyelven perturbációt), és azt vizsgáljuk, hogy egyetlen kölcsönhatást közvetítő részecske átadása (szaknyelven kicserélése) mit jelent (hogyan mozog két kézilabdás, ha csak egy labdájuk van?). A következő lépésben két kölcsönhatást közvetítő részecske kicserélését engedjük meg (két kézilabdás két labdával játszik), és így tovább.

Annak a valószínűségét, hogy egy szabad részecske kibocsásson egy kölcsönhatást közvetítő részecskét, például egy elektron kibocsásson egy fotont, az elméletekben egy számmal jellemezzük, amelyet g-vel szoktunk jelölni. Az elemi részek világa szimmetrikus abban az értelemben, hogy ugyanezzel a számmal lehet jellemezni annak a valószínűségét, hogy egy másik részecske "elkapja a feléje dobott" közvetítőrészecskét, így egy részecskecsere valószínűségét az a = g2/(4p) számmal, a csatolással szoktuk jellemezni (a 4p kényelmi tényező). Ha a csatolás gyenge, azaz a kicsi, akkor kicsi a részecskecsere valószínűsége, és a kölcsönható rendszert jól meg lehet érteni úgy, hogy a szabad részecske mozgását perturbáló egyetlen közvetítő részecske cseréjét vesszük figyelembe (a kézilabdások egyetlen labdával játszanak).  Ennek iskolapéldája az elektronok viselkedését leíró elektrodinamika, amelynek csatolása - aEM = 1/137 - valóban kicsi szám. Csupán egyetlen foton cseréje több mint százszor valószínűbb, mint két foton cseréje. Az elektrodinamika kvantumelmélete, a kvantumelektrodinamika (QED), továbbá a QED-beli perturbációszámítás kidolgozásáért kapott Sin-Itiro Tomonaga, Julian Schwinger és Richard Feynman 1965-ben Nobel-díjat. A kvantumelektrodinamikai perturbációszámítás a természetre vonatkozó, ma ismert elméleteink közül a legpontosabb; a számítások hihetetlen pontossággal, 10 jegyre egyeznek a kísérleti eredményekkel.

Ha a csatolás erős, tehát a nagy, akkor több közvetítőrészecske cseréje is lényeges, gyakori jelenség (ha egyszerre több kézilabda van a pályán, akkor a kézilabdások másként fognak mozogni, ritka lesz az, hogy egyszerre csak egy labda repül, gyakran egyszerre több is). Ha a > 1, akkor a sokrészecskés kölcsönhatás lesz jellemző, és a perturbációszámítás nem működik. Az erős kölcsönhatás éppen azért erős, mert a csatolása nagy, ezért sokáig az a nézet uralkodott  részecskefizikusi körökben, hogy az erős kölcsönhatásnak soha nem lehet majd olyan perturbatív leírását adni, mint amilyen a kvantumelektrodinamikai. Például két proton kölcsönhatása jól  modellezhető úgy, hogy a két proton egy p mezonnak hívott részecskét cserélget. Ebben a modellben, amelyért Hideki Yukawa 1949-ben kapott Nobel-díjat, a csatolás értéke egynél nagyobb, a perturbációszámítás nem használható. A nukleonok közötti kölcsönhatás leírásának a mai napig nincs kielégítő pontosságú elméleti modellje.

A "futó" csatolás és az aszimptotikus szabadság

Az egyes kölcsönhatások csatolásait sokáig természeti állandóknak gondolták. A kvantumelektrodinamikához kifejlesztett renormálás elmélete azonban azt jósolta, hogy a csatolás nem állandó, hanem függ a kölcsönható részecskék energiájától. Az ilyen csatolást nevezzük futó csatolásnak, a=a(Q), ahol Q a kölcsönhatás energiája. Valóban, a CERN 2000-ig működő nagy gyorsítóberendezésén, a LEP-en az ütköző elektron és poztiron teljes energiája 91,2 GeV  (1 GeV = 1,6·10-10 J) volt, ahol a kvantumelektrodinamikai csatolás értéke - az elméleti jóslat és a mért érték egyezésével - a fent említett 1/137 helyett 1/128. A futó csatolás növekvő Q-val nőhet vagy csökkenhet; hogy melyik történik, azt az a-Q grafikonon az összefüggést leíró görbe érintőjének meredeksége határozza meg, amelyet b-függvénynek nevezünk (matematikai nyelven , ahol L energia jellegű állandó) . Ha b(Q) nagyobb, mint nulla, akkor a "gyengén kölcsönható" elmélet (a kvantumelektrodinamika) nagy energiákon "erősen kölcsönhatóvá" válik.  Az ilyen elmélet elvileg nem áll szilárd alapokon, mert a számítások során tetszőlegesen nagy energiájú kölcsönhatásokat is figyelembe kell venni.3 Kurt Symanzik ismerte fel, hogy az ellentmondásmentes kvantumelmélet csatolásához tartozó b-függvény (röviden: a kvantumelmélet b-függvénye) nem lehet nullánál nagyobb. Az ilyen elméletet pedig az jellemzi, hogy minél nagyobb energiájúak a kölcsönható részecskék, annál gyengébb a csatolás; aszimptotikusan nagy energiákon meg is szűnik - a részecskék szabad részecskeként viselkednek. Ezt a tulajdonságot aszimptotikus szabadságnak nevezik.

Symanzik nem talált olyan elméletet, amelynek b-függvénye negatív. 1972-ben 't Hooft közel állt hozzá, hogy mutasson negatív b-függvénnyel rendelkező elméletet. Az ő elmondása szerint 1972 decemberében - egy marseille-i konferenciára érkezvén - a repülőtéren találkozott Symanzikkal. Beszélgetésükről 't Hooft a következőképpen számolt be4 (Symanzik éppen egy modell aszimptotikus skálázási tulajdonságáról, azaz a modell b-függvényének előjeléről beszélt):

- Bárcsak ellentétesre tudnám változtatni ezt a skálázási viselkedést - mondta Symanzik -, akkor olyan részecskeelméletet kapnék, amelyben az egymáshoz közeli részecskék szinte szabadon viselkednének, de amikor nagyobb távolságra vannak egymástól, sokkal nagyobb erővel hatnának egymásra.
- Éppen ez jön ki a Yang-Mills-elméletben!5 - kiáltottam.
- Ez nagyon lényeges eredmény lehet, jobban tenné, ha minél hamarabb közölné - válaszolt Symanzik.
Később igen sajnáltam - folytatja  't Hooft -, hogy nem fogadtam meg ezt a bölcs tanácsot.

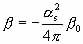
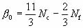
A konferencia-előadásán azonban megemlítette eredményét, s ez a közönség soraiban ülő Grosst és Sidney Colemant arra sarkallta, hogy doktori ösztöndíjasaiknak, Wilczeknek, illetve Politzernek a következő házi feladatot adják: számolják ki a kvarkok és a gluonok akkoriban született kvantumelmélete, a kvantum-színdimanika (QCD) b-függvényét. A feladatot mindketten sikeresen megoldották, és 1973 tavaszán egymás mellett két cikket jelentettek meg a Physical Review Letters hasábjain (Gross és Wilczek együtt, Politzer önállóan).6 A cikkek legfontosabb tartalma az volt, hogy a kvantum-színdimanika b-függvénye,  , aminek felhasználásával  . Itt as  az erős csatolás, amelyről látjuk, hogy
növekvő Q-val csökken, ,  Nc a színek száma,  Nf a kvarkfajták száma. A kvantum-színdimanika  Nc = 3 és  Nf = 6 értékeit behelyettesítve valóban b
< 0.

Az erős kölcsönhatás elméletében az aszimptotikus szabadság azt jelenti, hogy minél nagyobb energiájú elemirész-ütközéseket vizsgálunk, a folyamatban részt vevő részecskék közötti  kölcsönhatás annál kisebb, tehát a csatolás annál gyengébb, ami módot ad arra, hogy az erős kölcsönhatást is perturbációszámítással tárgyaljuk. Meggyőző példát szolgáltat a perturbációszámítás használhatóságára az elektron és a pozitron nagy energiájú ütközése, valamint hadronokká való szétsugárzása. Einstein tömeg-energia egyenértékűségi elve (E = mc2) alapján a koncentrált energiából újfajta részecskék képződhetnek, például egy kvarkpár. A keletkező kvarkok egymáshoz nagyon közel, nagy energiával jönnek létre, és így aszimptotikusan szabadon mozognak - a folyamat leírására a kvantum-színdimanika alkalmazható. Igaz, az egymástól távolodó kvarkok között egyre nagyobb "szín"-erő hat, amely végül ahhoz vezet, hogy új részecskék keletkeznek, és az észlelőberendezésben már nem a kezdeti két kvarkot látjuk, hanem részecskék záporát. A folyamat azonban őrzi a kezdeti két kvark "emlékét" (1/a ábra), és a perturbációszámítás alkalmazásakor a kísérlet eredményeivel egyezően meg lehet jósolni a két részecskezáport tartalmazó események valószínűségét. Találtak három részecskezáport tartalmazó eseményeket is, amelyeket úgy lehetett értelmezni, hogy a kezdeti két kvarkkal együtt harmadikként egy gluon is keletkezett (1/b ábra).

1. ábra. A két és három részecskezáporos végállapot elektron-pozitron ütközésekben. A kinagyított rész mutatja a perturbatív kvantum-színdimanikai értelmezést, ami lehetővé teszi az egyes végállapotok előfordulási gyakoriságának kiszámítását (e+: pozitron, e-: elektron, : kvark, : antikvark, g: gluon)

Bármilyen nagy elvi jelentőségű is a felírt egyenlet, nem érdemelt volna Nobel-díjat, ha a mérési eredmények nem támasztották volna alá. A XX. század utolsó két évtizedében sok szóráskísérletet végeztek különböző energiákon, és megmérték az adott energián az erős csatolás értékét. A mérési eredmények a 2. ábra tanúsága szerint ragyogóan alátámasztják Wilczek és Politzer házi feladatának eredményét.


2. ábra. Az erős csatolás méréseinek eredménye különböző energiákon, a mérések hibahatárainak feltüntetésével. A folytonos vonal a perturbatív QCD-jóslat, a szaggatott vonalak az elméleti jóslat bizonytalanságát jelölik7

A kvantum-színdimanikai aszimptotikus szabadság segítségével értelmezni lehetett azt a kísérletet is, amelyet az 1960-as évek vége felé végeztek a stanfordi gyorsítón (ezért ítélték oda a már említett 1990. évi Nobel-díjat). Nagy energiára gyorsított elektronokat protonoknak ütköztettek. A végállapot tanulmányozásából kiderült, hogy a proton és a nagy energiájú elektron ütközése úgy modellezhető, mintha egymástól független szabad részecskék (ma már tudjuk, hogy a proton elektromosan töltött összetevői, a kvarkok) egyikével ütközött volna az elektron - az aszimptotikus szabadság éppen ezt jelenti.

Az említett két cikk tette tehát lehetővé, hogy a részecskeütközések végállapotainak gyakoriságát elméletileg kiszámítsák és összevessék a mért adatokkal. Így megnyílt az út a nagy energiájú részecskeütközések mennyiségileg is pontos leírásához.

A kölcsönhatások egyesítése

Az aszimptotikus szabadság talán legragyogóbb következménye, hogy felveti az alapvető kölcsönhatások egyesítésének lehetőségét. Az elektromágneses, a gyenge és az erős kölcsönhatások csatolásai a számítások szerint úgy "futnak", hogy 1015 GeV energia körül majdnem egy pontban azonossá válik az értékük, amint a 3/a ábra mutatja. A kölcsönhatások egységes elméleti keretbe való foglalásához azonban az szükséges, hogy a csatolási állandók pontosan ugyanazt az értéket vegyék fel. Érdekes elméleti felvetés, hogy minden általunk eleminek ismert részecskének van a természetben egy ún. szuperszimmetrikus társa, amely aszimptotikusan, nagy energián, az ismert részecskétől csak a sajátperdületében (spinjében) különbözik. Tudjuk, hogy alacsony energián ez a bizonyos szuperszimmetria sérül, hiszen nem ismerjük a szuperpartnereket. Ha léteznek is, tömegük olyan nagy, hogy a részecskegyorsítókban máig nem sikerült elegendően nagy energiát egy helyre koncentrálni az előállításukhoz. Előfordulhat azonban, hogy az ismert részecskék szuperpartnereinek tömege alig nagyobb az eddig elért legnagyobb energiáknál. A számítások szerint az ilyen részecskék létezése éppen úgy változtatná meg a csatolások futását, hogy a három csatolás valóban egy pontban találkozna a Standard Modell szuperszimmetrikus kiterjesztésében (3/b ábra). A 2007-ben beinduló részecskegyorsítót azzal a reménnyel is építik a CERN-ben, hogy szuperpartnereket találnak majd az ütközések végállapotaiban.

3. ábra. Az elektromágneses (a1), a gyenge (a2) és erős (a3) csatolások (reciprokainak) változása  a) a Standard Modellben, b) a Standard Modell szuperszimmetrikus kiterjesztésében. Az utóbbiban a törést a feltételezett szuperszimmetrikus részecskék nagy energián való megjelenése okozza. A kísérletek jelenleg a 100 GeV körüli tartományban mozognak

Jegyzetek

1. A részecskék Standard Modelljének népszerű leírása megtalálható Horváth Dezső A Standard Modell: mi az, és mire jó? cikkében (Természet Világa, 2000. III. különszám, 4. o.).
2. A proton szerkezetéről alkotott képünk népszerű leírása megtalálható Trócsányi Zoltán A proton szerkezete cikkében (Természet Világa, 2000. III. különszám, 46. o.).
3. A QED mégis használható mérési eredmények elméleti értelmezéséhez, mert a csatolás futása nagyon lassú, és úgy véljük, hogy igen nagy energián (Planck-energia) mindenképpen másik (általunk egyelőre nem ismert) elmélet érvényes.
4. CERN Courier, 1988. novemberi szám; http://www.cerncourier.com/main/article/38/8/16.
5. A Yang-Mills-elméletre a lapul a QCD is.
6. D. J. Gross és F. Wilczek, Phys. Rev. Lett. 30 1343 (1973), D. Politzer, Phys. Rev. Lett. 30 1346 (1973). Mind Politzernek, mind Wilczeknek ez volt első tudományos közleménye.
7. S. Bethkének a 2002. évi montpellier-i QCD-konferencián tartott előadásából.